In a break from our regularly scheduled programming, this post will be about electricity, and more specifically about the balance between solar, wind, nuclear, fossil sources and power storage.

Wind and solar are often called “renewables”, but renewables are actually more than that: for instance, dams are a form a renewable power, and have been a major part of the electrical grid in countries such as Sweden for a long time. What separates traditional renewables like dams from wind and solar is that the latter are “non-controllable” energies: whereas most dams can produce energy on-demand because the plant operator can just open the valves as long as the water level is not too low, there is no such control on wind and sunlight. The sun shines and the winds blow not at the moment of highest demand, but on their own accord, with quite a bit of chance involved. There are patterns in the production (surprisingly, the power output of solar panels is 0 at night) and over long periods of time the average output is quite predictable, but the variations due to weather impact both wind and solar, and sometimes at the same time: some bad weather systems can make the sky overcast for a few weeks, reducing solar output, and can be associated with very low winds, also reducing wind power. Worse than that, the clouds can stay in place for a long time because there is no wind, making the production of wind and solar correlated, so you cannot always rely on one to compensate the other.
That being said, there is a solution to this problem. As long as over one year wind and solar produce enough energy to meet the demand, you just have to store the energy when production exceeds demand, and release it when demand exceeds production because of poor weather. Sounds easy, right?
The problem is that electricity storage is possible, but it is not cheap. To meet the demand of a modern country, huge amounts of energy have to be produced, and almost all electrical systems operate with very little storage, and just adjust the production to meet the demand. Some countries do use pumped-storage dams, in which water is moved uphill when production exceeds demand, but dams are expensive to build and use a lot of often valuable real estate. Besides, since the first dams were built long ago, some regions have reached saturation, with all the places where it was interesting to build a dam already having one.
All of this to say it is not easy to understand how controllable production, non-controllable renewable sources and storage have to be balanced to build an electrical system that can reliably power a modern country. For instance, by having more storage, the need for on-demand production is reduced and non-controllable renewable sources become more interesting, but since storage costs a lot, what is the most financially interesting compromise?
To answer this question, I built an interactive simulator of the French electrical system, in which you can input varying amounts of nuclear, wind and solar power, decide on the amount of available storage and its cost, and the simulator tells you how much extra energy (for instance from fossil fuel plants) is needed to balance the system, and how much the overall system costs.
The simulator itself is an excel workbook available here [v4: updated with a better pumped hydro cost model based on a recent Spanish plant]. The underlying model is quite simple: it takes the 2018-2019 production for French hydro, nuclear, wind and solar, and then the user can apply a separate factor on each of those to simulate a different energy mix. You can also add storage. Then the simulator tells you, taking all of that into account, if your mix meets the demand, and if it does not, how much additional energy from controllable sources is required. It also gives you the CO2 production of these additional sources assuming they are gas plants.
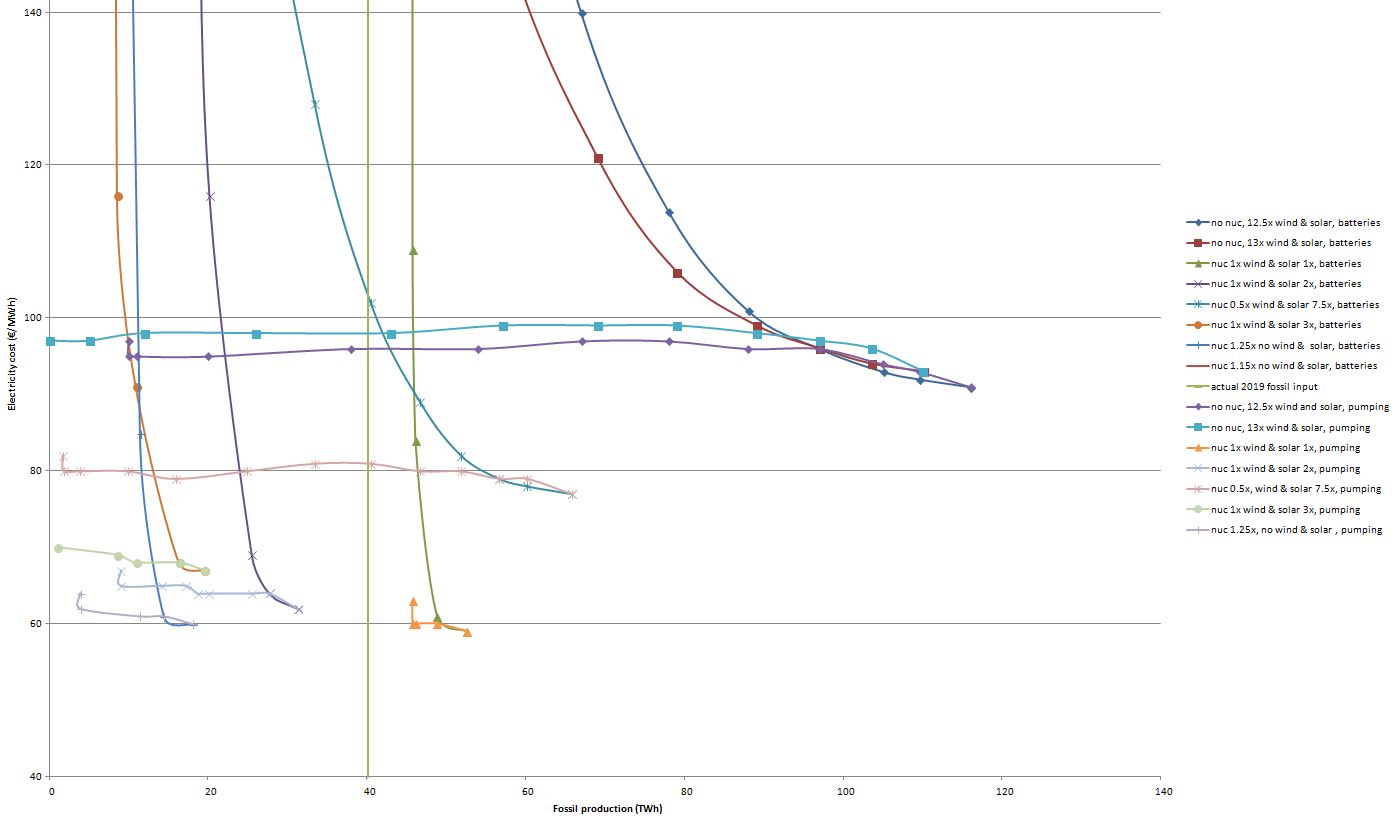
There is also a basic cost model to compare the various mixes on this criteria. Thus, you can plot the cost of electricity vs the quantity of fossil fuel burned for various scenario. This helps visualize what the tradeoff is between limiting global warming and keeping the energy as affordable as possible:
The way the graph reads is that each curve represents a mix of energy sources, with a varying amount of storage. The steep curves use battery storage, which is very expensive per TWh. So there is a high cost to decreasing the fossil fuel use by installing more batteries. The almost flat curves use pumped hydro storage. They are flat because in the cost model, 1TWh of gas has almost the same cost as building 1TWh of hydro reservoir for seasonal storage, averaged over the 100 years lifetime of the reservoir. That is probably seriously underestimating the cost of pumped hydro storage, but I could not find any recent reservoir construction projects in France to get a good estimate.
Anyway, another interesting piece of information in the graph is the impact of putting more or less wind and solar in the mix. With a very large amount of storage (28TWh), increasing the solar and wind production 13 fold allows to completely meet the demand. This is coherent with a study by the Lahti University of Technology which found France could switch to a full renewable system with 25TWh of storage. However, if the storage capacity is limited for cost reasons (as would be the case with a better reservoir building and exploitation model), then gas has to be burned to meet the demand when there is no wind and no sun:
This is amount of stored energy in the scenario with 13x wind and solar (in blue), and the cumulated fossil production (red) needed to meet the demand when there is no energy in store. The scenario starts on March 1 with the storage empty, just after the winter demand peak. Then during spring and summer, there is no need to use fossil as the storage meets the demand. Between September and December, there are even times when the storage is full (this scenario uses 12TWh of storage). However, starting from December, the high demand (French demand is very sensitive to temperature because of poor isolation and large use of electric heating) quickly empties the storage, and fossils have to be used to compensate.
Back to the overview graph:
The scenarios with high solar and wind are the ones which converge (when there is no storage) to a price around 100€/MWh and 120TWh of fossil fuel burned. That has to be compared to the actual amount of fossil burned by the French electrical system in 2019, which is 42.6TWh (mostly gas). The actual 2019 cost of the electrical system is harder to assess. The French budget audit court has estimated the production cost for nuclear to 36€/MWh for a plant lifetime of 50 years, the model gives 38.7€/MWh for the same lifetime, using the French historical data for exploitation costs and the Hinkley point EPR for construction costs. The power line cost model is a guesstimate so the overall cost of production + storage + transport can be questioned.
Under the model, the high wind & solar mixes have a much higher cost (~100€/MWh) than the full or almost full nuclear mixes (~60€/MWh). Without any storage, they also emit much more CO2 (~120TWh vs 20 to 50TWh for nuclear-heavy mixes). The mix with a 50% reduction of nuclear compared to 2019 comes in-between, at 80€/MWh and 65TWh of CO2. The 50% nuclear reduction is the stated French government policy.
Another interesting mix is the one with 20x solar and wind, no nuclear and 0.1TWh of storage (not pictured in the graph above). It generates too much electricity over one year compared to the demand, but because it is oversized, it can still meet the demand even when the weather is not optimal, without having to use fossil fuel to much: it only needs 38TWh of fossils, about the same as the current mix. However, it comes at a cost: the cost of electricity is more than doubled, at 124€/MWh.
All in all, the results challenge the objective of replacing nuclear production, which does not produce CO2 and is quite cheap, by non-controllable renewables. Barring very large and very cheap storage, it would increase the CO2 production and increase the cost of electricity. Of course, these are not the only metrics for an electrical system. Others, such as national independence towards fossil fuel producers, may also be considered. The risks associated to a nuclear accident must also be taken into account: an accident forcing the evacuation of a large city would cause a hard to recover from economic blow. The medical consequences could be mostly avoided by evacuating quickly and distributing iode pills right after the accident. However, the degree of preparedness and the quality of crisis management by the French government has not been very good lately, as the Lubrizol chemical plant disaster or more recently the coronavirus epidemic have shown.



